One-Sided Limits

When crossing the street, you look to the left and right to ensure there are no problems before walking across. When finding the limits of the function, you do the same thing, look to the left and right!

Get started

Millions of flashcards designed to help you ace your studies

Sign up for free

Review generated flashcards

Sign up for free
You have reached the daily AI limit

Start learning or create your own AI flashcards

StudySmarter Editorial Team

Team One-Sided Limits Teachers

  • 12 minutes reading time
  • Checked by StudySmarter Editorial Team
Save Article Save Article
Sign up for free to save, edit & create flashcards.
Save Article Save Article
  • Fact Checked Content
  • Last Updated: 10.02.2023
  • Published at: 25.07.2022
  • 12 min reading time
Contents
Contents
  • Fact Checked Content
  • Last Updated: 10.02.2023
  • 12 min reading time
  • Content creation process designed by
    Lily Hulatt Avatar
  • Content cross-checked by
    Gabriel Freitas Avatar
  • Content quality checked by
    Gabriel Freitas Avatar
Sign up for free to save, edit & create flashcards.
Save Article Save Article

Jump to a key chapter

    One-Sided Limits in Calculus

    Generally, we call these the limit from the left or the limit from the right because you are specifically looking to the left or right of a specific point.

    For a review of the definition of the limit of a function, see Limits of a Function.

    Definition of One-sided Limits

    How can we formally define "one-sided limits" in calculus? Let's have a look!

    We say that \(L\) is the left limit of a function \(f(x)\) at \(a\) if we can get \(f(x)\) as close to \(L\) as we want by taking \(x\) on the left side of \(a\), and close to \(a\) but not equal to \(a\). It is written

    \[lim_{x \rightarrow a^-}f(x)\]

    .

    This is also called the limit from the left of a function. You can also look at the limit from the right of a function.

    We say that \(L\) is the right limit of a function \(f(x)\) at \(a\) if we can get \(f(x)\) as close to \(L\) as we want by taking \(x\) on the right side of \(a\), and close to \(a\) but not equal to \(a\). It is written

    \[ lim_{x \rightarrow a^-} f(x) \]

    The nice thing is that if the limit of the function exists, then both the limit from the left and right exist and are the same.

    Each of the results below follow from just the definition of the limit, the left limit, and the right limit. They are an immediate consequence of the definitions and so don't require a fancy proof.

    1. Suppose that

    \[lim_{x \rightarrow a} f(x)=L\]

    where \(L\) is a real number. Then

    \[lim_{x \rightarrow a^+} f(x)=L\]

    and

    \[lim_{x \rightarrow a^-} f(x)=L\]

    2. Similarly, if

    \[lim_{x \rightarrow a^+} f(x)=L= lim_{x \rightarrow a^-} f(x)\]

    then

    \[lim_{x \rightarrow a} f(x)=L\].

    Note this gives you a handy way to tell if the limit doesn't exist, just by using the contrapositive of part 2.

    3. If

    \[lim_{x \rightarrow a^+} f(x) \neq lim_{x \rightarrow a^-} f(x)\]

    then

    \[lim_{x \rightarrow a} f(x)\]

    does not exist.

    You can read \(x \rightarrow a^+\) as "\(x\) approaching \(a\) from the right", and \(x \rightarrow a^-\) as "\(x\) approaching \(a\) from the left".

    Finding One-Sided Limits

    So how do you figure out what a function's left or right limit is? You can determine one-sided limits by looking at:

    1. The graph of a function, OR

    2. A table of function values

    So let's look at a specific example.

    Using the function

    \[ f(x) \Biggl\{ \begin{matrix}1 x< 2 \\3 x \geq 2\end{matrix} \]

    find

    \[lim_{x \rightarrow 2^-} f(x)\]

    and

    \[lim_{x \rightarrow 2^+} f(x)\]

    What does this tell you about

    \[lim_{x \rightarrow 2} f(x)?\]

    Answer:

    First, let's look at the limit from the left. In the graph below, you can see the function, and also a table of function values that are getting closer to \(x=2\) from the left-hand side, and the points in the table plotted on the graph.

    \(x\)\(f(x)\)
    11
    1.51
    1.751
    1.91
    1.951
    1.991

    Table 1. Data for the limit example.

    One-Sided Limits limit from left using graph table StudySmarterFig. 1. Limit from the left using a graph and table.

    As you can see from the graph above, as \(x \rightarrow 2^-\), all of the function values are equal to \(1\). Therefore

    \[lim_{x \rightarrow 2^-} f(x)=1\]

    Now instead, let's look at the limit from the right. In the graph below, you can see the function, a table of function values that are getting closer to \(x=2\) from the right-hand side, and the points in the table plotted on the graph.

    \(x\)\(f(x)\)
    33
    2.53
    2.253
    2.13
    2.053
    2.013

    Table 2. Data for the example function.

    One-Sided Limits limit from right using graph table StudySmarterFig. 2. Limit of a function from the right using a graph and table.

    As you can see from the graph above, as \(x \rightarrow 2^+\), all of the function values are equal to \(3\). Therefore

    \[lim_{x \rightarrow 2^-} f(x)=3\]

    Finally, since you know that

    \[lim_{x \rightarrow 2^-} f(x) \neq lim_{x \rightarrow 2^+} f(x)\]

    you also know that

    \[lim_{x \rightarrow 2} f(x)\]

    does not exist.

    Examples of One-Sided Limits

    Let's look at more examples of determining one-sided limits.

    Consider the function

    \[f(x)= \dfrac{|x|}{x}\]

    Find the limits from the left and right of \(x=0\).

    Answer:

    Rather than thinking about this function as one with an absolute value, it can help to think about possible values for \(x\). Let's look at the \(3\) possible cases here:

    1. When \(x=0\), this function is not defined.
    2. When \(x\) is negative, \(f(x)=-1\).
    3. When \(x\) is positive, \(f(x)=1\).

    So you can instead think of this as the piecewise-defined function:

    \[ f(x) \Biggl\{ \begin{matrix}-1, x< 0 \\1, x > 0\end{matrix} \]

    This is very similar to the previous example. In fact

    \[lim_{x \rightarrow 0^-+ f(x)=1\]

    and

    \[ lim_{x \rightarrow 0^-} f(x)=-1\]

    For the function in the picture below, determine the following (if it exists):

    1. \(f(1)\), \(f(3)\), and \(f(4)\).

    2. the limit from the left at \(x=-3\), \(x=1\), \(x=3\), and \(x=4\).

    3. the limit from the right at \(x=-3\), \(x=1\), \(x=3\), and \(x=4\).

    4. the limit at\(x=-3\), \(x=1\), \(x=3\), and \(x=4\).

    One-Sided Limits finding limit from left and right using graph StudySmarterFig. 3. Finding One-Sided limits from a graph.

    Answer:

    1. This part is just looking for the function values at these points. So looking at the graph, \(f(1)=2\), \(f(3)=4\) and \(f(4)=1\).

    2. Remember that when you are finding the limit from the left, you only look at points on the graph that are to the left of the point you care about. So using the graph,

    \[lim_{x \rightarrow -3^-} f(x)=3\]

    \[lim_{x \rightarrow 1^-} f(x)=-5\]

    [lim_{x \rightarrow 3^-} f(x)=4\]

    [lim_{x \rightarrow 4^-} f(x)=4\]

    3. When you are finding the limit from the right, you only look at points on the graph that are to the right of the point you care about. So using the graph:

    \[lim_{x \rightarrow -3^+} f(x)=3\]

    \[lim_{x \rightarrow 1^+} f(x)=2\]

    \[lim_{x \rightarrow 3^+} f(x)=3\]

    \[lim_{x \rightarrow 4^+} f(x)=4\]

    4. The limit will exist only in cases where the limit from the left and the limit from the right are the same. Otherwise, the limit doesn't exist. Looking at the information in parts 2 and 3 above, that means that the limit exists at \(x=-3\) and at \(x=4\). You can also say that

    \[lim_{x \rightarrow -3} f(x)=3\]

    and

    \[lim_{x \rightarrow 4} f(x)=4\]

    Notice that the fact that the limit exists is independent of the actual function value at the point, or even if the function is defined there.

    In addition, the limit does not exist at \(x=1\) and \(x=3\).

    One-Sided Limits and Vertical Asymptotes

    One question that still needs to be answered. How do we evaluate the left and right limits of a function at a vertical asymptote? The process for finding the limits from the left and right when there is a vertical asymptote is exactly the same as at any other point. Let's look at an example.

    Consider the function

    \[f(x)=\dfrac{1}{x}\]

    Find

    \[lim_{x \rightarrow 0^+} f(x)\]

    and

    \[lim_{x \rightarrow 0^-} f(x)\]

    Answer:

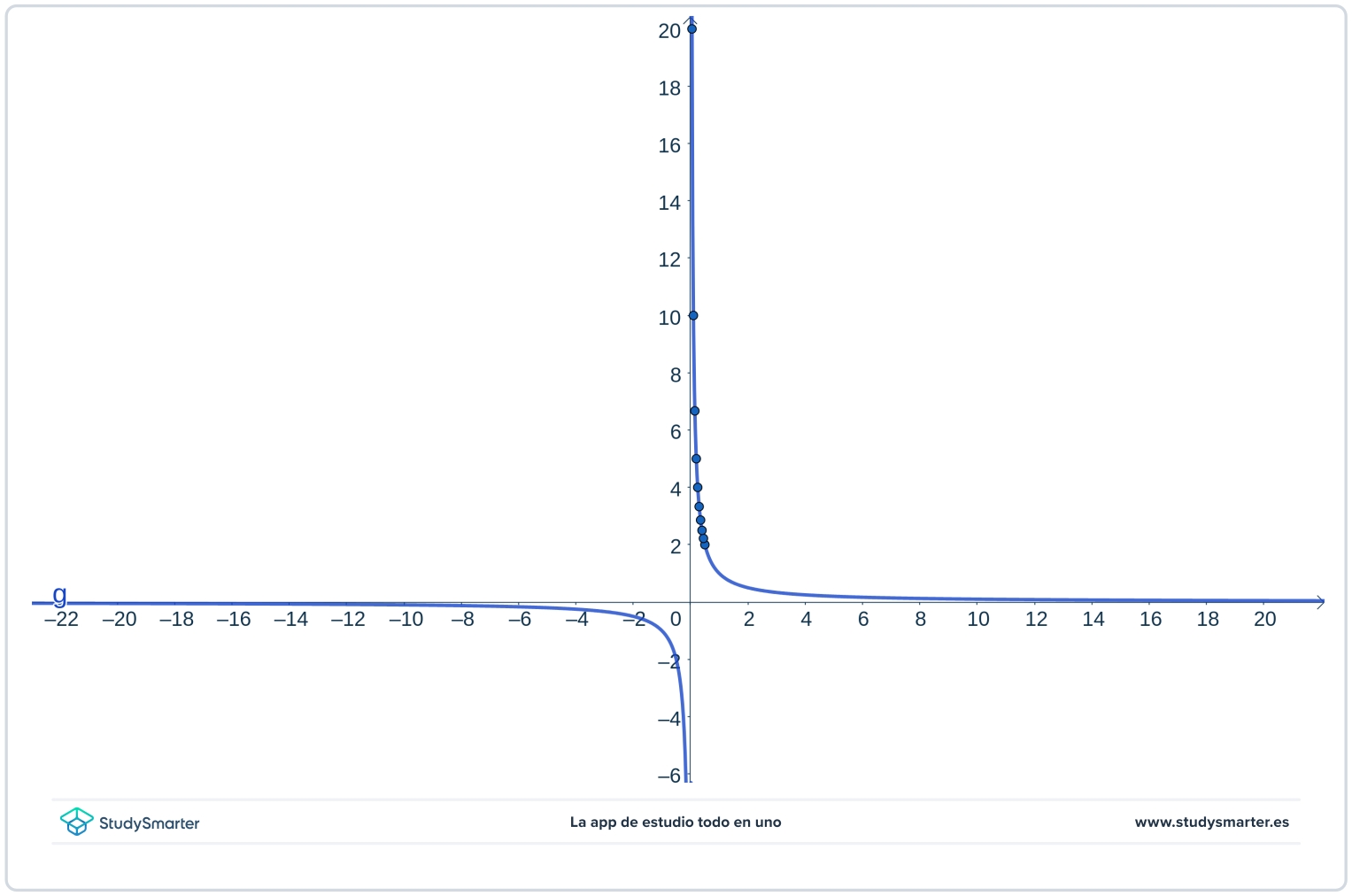
    First, let's think about the limit from the left. Look at the graph and table below.

    \(x\)\(f(x)\)
    -0.5-2
    -0.45-2.22
    -0.4-2.2
    -0.35-2.86
    -0.3-3.33
    -0.25-4
    -0.2-5
    -0.15-6.67
    -0.1-10
    -0.05-20

    Table 3. Data for the limit example.

    One-Sided Limits limit from left at vertical asymptote chart graph StudySmarterFig. 4. Limit from the left at a vertical asymptote.

    As you can see from both the graph and table, as you take \(x\) values that get closer and closer to \(x=0\) from the left, the function values become further and further away from the \(x\) axis, and are all negative. So you would say that in fact there is no number that is the limit from the left. When this happens you can say that "the limit from the left diverges to negative infinity", and write it as

    \[lim_{x \rightarrow o^-} \dfrac{1}{x}=-\infty\].

    This may seem odd given that limits usually have to be numbers, but the notation is just saying that the function values to the left at zero, but close to zero, can be as large a negative value as you want them to be.

    When we say the limit equals \(+ \infty\) or \(-\infty\), it is just another way of saying the limit does not exist, just being a bit more specific!

    Now let's think about the limit from the right. Look at a graph and table below.

    \(x\)\(f(x)\)
    0.52
    0.452.22
    0.42.5
    0.352.86
    0.33.33
    0.254
    0.25
    0.156.67
    0.110
    0.0520

    Table 4. Data points for the side-limit example.

    One-Sided Limits limit from right at vertical asymptote graph table  StudySmarterFig. 5. The limit from the right of a vertical asymptote.

    As you can see from both the graph and table, as you take \(x\) values that get closer and closer to \(x=0\) from the right, the function values become further and further away from the \(x\) axis, and are all positive. So you would say that in fact there is no number that is the limit from the right. When this happens you can say that "the limit from the right diverges to infinity", and write it as

    \[lim_{x \rightarrow 0^+} \dfrac{1}{x}=\infty\].

    This may seem odd given that limits usually have to be numbers, but the notation is just saying that the function values to the left at zero, but close to zero, can be as large a positive number as you want them to be.

    If instead of vertical asymptotes you are interested in the limit as \(x \rightarrow \pm \infty\), also known as limits at infinity, see Infinite Limits

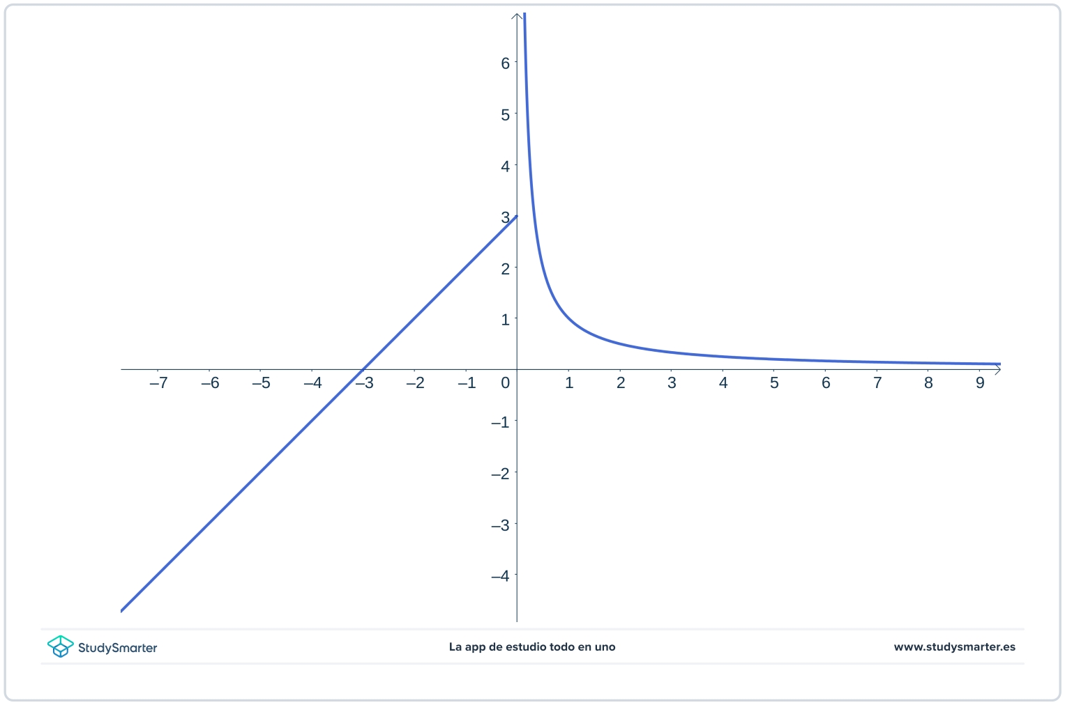
    There may be cases where the limit from one side exists, but does not exist from the other side. We see this in the example below.

    For the function in the graph below, find

    \(lim_{x \rightarrow 0^+}\) and \(lim_{x \rightarrow 0^-}\).

    One-Sided Limits limit from one side exists but limit from other side infinite StudySmarterFig. 6. Limit from one side exists but limit from other side doesn't.

    From the picture above, we see that to the left of \(x=0\) the function values get closer and closer to \(3\) as \(x \rightarrow 0^-\). That means:

    \[lim_{x \rightarrow 0^-} f(x)=3\]

    However, if you look at values to the right of \(x=0\), the function values get larger and larger as \(x \rightarrow 0^+\). That means:

    \[lim_{x \rightarrow 0^+} f(x)=\infty\]

    Looking at the examples above, you can draw some helpful conclusions:

    1. If

    \(lim_{x \rightarrow a^+} f(x)= \pm \infty\) or if \(lim_{x \rightarrow a^-} f(x)= \pm \infty\)

    then the function has a vertical asymptote at \(x=a\).

    2. If the function has a vertical asymptote at \(x=a\) then either

    \(lim_{x \rightarrow a^+} f(x)= \pm \infty\) or \(lim_{x \rightarrow a^-} f(x)= \pm \infty\)

    One-Sided Limits - Key takeaways

    • We say that \(L\) is the left limit of a function \(f(x)\) at \(a\) if we can get \(f(x)\) as close to \(L\) as we want by taking \(x\) on the left side of \(a\), and close to \(a\) but not equal to \(a\). It is written

      \[lim_{x \rightarrow a^-} f(x)\]

      .

    • We say that \(L\) is the right limit of a function \(f(x)\) at \(a\) if we can get as close to \(L\) as we want by taking \(x\) on the right side of \(a\), and close to \(a\) but not equal to \(a\). It is written

      \[lim_{x \rightarrow a^+} f(x)\]

    • Suppose that \(lim_{x \rightarrow a} f(x)=L\) where \(L\) is a real number. Then:\(lim_{x \rightarrow a^+} f(x)=L\) and \(lim_{x \rightarrow a^-} f(x)\)

    • If \(lim_{x \rightarrow a^+} f(x)=L=lim_{x \rightarrow a^-} f(x)\) then:

      \[lim_{x \rightarrow a} f(x)=L\].

    • If \(lim_{x \rightarrow a^+} f(x) \neq lim_{x \rightarrow a^-} f(x)\) then

      \(lim_{x \rightarrow a} f(x)\) does not exist.

    • If \(lim_{x \rightarrow a^+} f(x) = \pm \infty\) or if \( lim_{x \rightarrow a^-} f(x)= \pm \infty\)

      then the function has a vertical asymptote at \(x=a\).

    • If the function has a vertical asymptote at \(x=a\) then either:

      \(lim_{x \rightarrow a^+} f(x) = \pm \infty\) os \( lim_{x \rightarrow a^-} f(x)= \pm \infty\).

    Learn faster with the 0 flashcards about One-Sided Limits

    Sign up for free to gain access to all our flashcards.

    One-Sided Limits

    Frequently Asked Questions about One-Sided Limits

    How do you find one-sided limits?

    You can use a graph, a table of function values, or the properties of limits.

    What is a one-sided limit?

    It is when you look at x values which are only to the left or right of the point you care about, not at both at the same time.

    How do you graph one-sided limits? 

    Graph the function near the point you care about.  Then only look to the left or right of the point, depending on if you are looking for the limit from the left or the limit from the right.

    What is the significance of one-sided limits? 

    If you can show that the limit from the left at a point is not the same as the limit from the right at that point, then you know that the limit of the function at that point doesn't exist.

    How do you calculate one-sided limits?

    You can do it algebraically for some functions, or using the properties of limits, or theorems like the Squeeze Theorem.

    Save Article

    How we ensure our content is accurate and trustworthy?

    At StudySmarter, we have created a learning platform that serves millions of students. Meet the people who work hard to deliver fact based content as well as making sure it is verified.

    Content Creation Process:
    Lily Hulatt Avatar
    Lily Hulatt

    Digital Content Specialist

    Lily Hulatt is a Digital Content Specialist with over three years of experience in content strategy and curriculum design. She gained her PhD in English Literature from Durham University in 2022, taught in Durham University’s English Studies Department, and has contributed to a number of publications. Lily specialises in English Literature, English Language, History, and Philosophy.

    Get to know Lily
    Content Quality Monitored by:
    Gabriel Freitas Avatar
    Gabriel Freitas

    AI Engineer

    Gabriel Freitas is an AI Engineer with a solid experience in software development, machine learning algorithms, and generative AI, including large language models’ (LLMs) applications. Graduated in Electrical Engineering at the University of São Paulo, he is currently pursuing an MSc in Computer Engineering at the University of Campinas, specializing in machine learning topics. Gabriel has a strong background in software engineering and has worked on projects involving computer vision, embedded AI, and LLM applications.

    Get to know Gabriel
    Discover learning materials with the free StudySmarter app
    Sign up for free
    1

    About StudySmarter

    StudySmarter is a globally recognized educational technology company, offering a holistic learning platform designed for students of all ages and educational levels. Our platform provides learning support for a wide range of subjects, including STEM, Social Sciences, and Languages and also helps students to successfully master various tests and exams worldwide, such as GCSE, A Level, SAT, ACT, Abitur, and more. We offer an extensive library of learning materials, including interactive flashcards, comprehensive textbook solutions, and detailed explanations. The cutting-edge technology and tools we provide help students create their own learning materials. StudySmarter’s content is not only expert-verified but also regularly updated to ensure accuracy and relevance.

    Learn more
    StudySmarter Editorial Team

    Team Math Teachers

    • 12 minutes reading time
    • Checked by StudySmarter Editorial Team
    Save Explanation Save Explanation
    Study anywhere. Anytime.Across all devices.
    Sign-up for free

    Sign up to highlight and take notes. It’s 100% free.