Fundamental Theorem of Algebra

In this lesson, we will be discussing the Fundamental Theorem of Algebra. The idea behind this concept is mainly to factorize and solve polynomials by identifying the roots of a given expression. Before we begin, let us review the following definitions.

Get started

Millions of flashcards designed to help you ace your studies

Sign up for free

Review generated flashcards

Sign up for free
You have reached the daily AI limit

Start learning or create your own AI flashcards

StudySmarter Editorial Team

Team Fundamental Theorem of Algebra Teachers

  • 10 minutes reading time
  • Checked by StudySmarter Editorial Team
Save Article Save Article
Sign up for free to save, edit & create flashcards.
Save Article Save Article
  • Fact Checked Content
  • Last Updated: 18.04.2022
  • Published at: 04.05.2022
  • 10 min reading time
Contents
Contents
  • Fact Checked Content
  • Last Updated: 18.04.2022
  • 10 min reading time
  • Content creation process designed by
    Lily Hulatt Avatar
  • Content cross-checked by
    Gabriel Freitas Avatar
  • Content quality checked by
    Gabriel Freitas Avatar
Sign up for free to save, edit & create flashcards.
Save Article Save Article

Jump to a key chapter

    Multiplicity

    If a polynomial p(x) has multiple roots at r, the multiplicity of r refers to the number of times (x – r) occurs as a factor of p(x). These are also called repeated roots. For example, p(x) = (x – r)3 means that the root r has a multiplicity of 3.

    Roots

    The roots of a polynomial p(x) are values of a variable that satisfy the equation p(x) = 0. These are also known as solutions, zeros, and x-intercepts.

    In addition, let us also define the standard form and degree of a polynomial as below:

    Let p(x) be a polynomial of the form

    p(x)=anxn++a1x+a0

    where ana0 are the coefficients to the variables xn x0,respectively.

    The degree of a polynomial is the highest power of x in a polynomial with non-zero coefficients.

    With that in mind, we can establish the following theorem.

    The Fundamental Theorem of Algebra

    If p(x) is a polynomial of degree n ≥ 1, then p(x) = 0 has exactly n roots, including multiplicities and complex roots.

    Note that n refers to the highest degree of a given polynomial. Proving this theorem is beyond the scope of this syllabus. Thus, it is not necessary for you to verify it! However, it is important that you know how to apply this concept to factoring and solving polynomials.

    It is helpful to recall that the term complex here describes a complex root with a non-zero imaginary part, say, a + bi, where a is real and b ≠ 0. As complex roots always come in conjugate pairs, this implies that a - bi is also a root to the polynomial.

    Application of the Fundamental Theorem of Algebra

    Now, let us apply the Fundamental Theorem of Algebra. We shall present several worked examples in this segment that will provide us with a clearer understanding of the concept with regard to factoring and solving polynomials. For simplicity, we shall use the abbreviation FTA to define the Fundamental Theorem of Algebra.

    Identifying the Number of Roots in a Polynomial

    Using FTA, determine the number of roots for the polynomial

    f(x)=3x4+4x3-7x-8

    Solution

    The degree of f(x) is n = 4, Thus, by FTA we have 4 solutions.

    Using FTA, determine the number of roots for the polynomial

    f(x)=x7+2x5+3x3-x2-9

    Solution

    The degree of f(x) is n = 7, Thus, by FTA we have 7 solutions.

    Therefore, from FTA we can easily deduce that:

    • a linear polynomial (degree 1) will have one root

    • a quadratic polynomial (degree 2) will have two roots

    • a cubic polynomial (degree 3) will have three roots

    • an nth degree polynomial will have n roots

    Identifying the Zeros and Degree of an Equation

    Let us first define a specific form of a factorized polynomial as below:

    A polynomial p(x) of the form

    p(x)=anxn++a1x+a0

    can be rewritten as a product of linear factors as

    p(x)=a(x-r1)(x-r2)(x-rn)

    where r1, r2, , rn are the roots of the polynomial.

    Given the factored polynomial below,

    f(x)=(x-13)(x+4)(x+2)

    determine the number of roots each equation has and find all their solutions.

    Solution

    Setting f(x) = 0 and using the Zero Product Property, we find that the roots are

    x=-4, x=-2 and x=13

    As there are 3 roots in total, so by FTA, the polynomial must be a degree of 3.

    Given the factored polynomial below,

    f(x)=(x+3)(x-3)(x+5)(x-5)(x-7)(x+7)

    determine the number of roots each equation has and find all their solutions.

    Solution

    Similarly, as before, we find that the zeros of the polynomial are

    x=-7, x=-5, x=-3, x=3, x=5 and x=7

    As there are 6 zeros in total, so by FTA, the polynomial must be a degree of 6.

    Previously, we had mentioned that complex roots always come in conjugate pairs. This means that polynomials of even degrees can be made up of either all real roots or all pairs of complex roots (or a combination of both). Polynomials of odd degrees, however, cannot be made up of all pairs of complex roots. In this case, it will be made up of a combination of real roots and pairs of complex roots (or only real roots). We shall demonstrate this with the following examples.

    Factorize and solve the polynomial below.

    f(x)=x4-81

    Solution

    We first set f(x) = 0 as x4-81=0

    Observe that this is a difference of two squares. From Special Products, we know that this becomes

    (x2-9)(x2+9)=0

    Similarly, we can further factorize (x2-9) as

    (x-3)(x+3)(x2+9)=0

    Solving this, we obtain

    x+3=0x=-3x-3=0x=3,and x2+9=0x2=-9x=±3i

    This polynomial has an even degree of 4. This, we have 4 roots made up of 2 real roots and 2 complex conjugate roots.

    Factorize and solve the polynomial below.

    f(x)=x3-x2+4x-4

    Solution

    Setting f(x) = 0, we have x3-x2+4x-4=0

    Using the grouping method, we can factorize this as

    (x3-x2)+(4x-4)=0x2(x-1)+(4)(x-1)=0(x-1)(x2+4)=0

    Solving this we have

    x-1=0x=1, and x2+4=0x2=-4x=±2i

    This polynomial has an odd degree of 3. Thus we obtain 3 roots made up of one real root and 2 complex conjugate roots.

    So far, we have looked at polynomials that can be factorized as a product of linear factors. In some cases, we may encounter irreducible quadratics. An irreducible quadratic is one that we can no longer break down into a product of linear factors.

    Take the last two examples for instance. The expressions x2 + 9 and x2 + 4 are examples of irreducible quadratics. We find that these expressions are made up of a product of 2 complex conjugates roots. Here,

    x2+9=(x-3i)(x+3i ) and x2+4 =(x-2i)(x+2i)

    Multiplying a pair of complex conjugate roots takes the general formula:

    (a+bi)(a-bi)=a2+b2

    This brings us to the question: what if the irreducible quadratic is not of the form above? We thus need to find a method to identify an irreducible quadratic. To do this, we shall make use of the discriminant of a quadratic polynomial. The following is a general rule we should follow when we encounter such quadratics.

    The Discriminant of a Quadratic Equation

    For a quadratic polynomial

    p(x)=ax2+bx+c

    the discriminant D=b2-4ac describes the roots of the polynomial. There are three cases to consider here.

    Case 1: D > 0

    p(x) can be reduced further into a product of linear factors. We will obtain two distinct real roots.

    Case 2: D = 0

    p(x) can be reduced further into a product of multiplicities. We will obtain one real repeated root.

    Case 3: D < 0

    p(x) becomes an irreducible quadratic. We will obtain two complex conjugate roots.

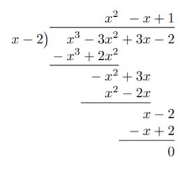
    Factorize and solve the polynomial below.

    f(x)=x3-3x2+3x-2

    Solution

    Setting f(x) = 0, we have x3-3x2+3x-2=0.

    By FTA, we observe that f(x) has a degree of n = 3, and so we must have 3 solutions. Using long division, we can factorize f(x) as (x-2)(x2-x+1)=0.

    From here, we can see that the equation x2-x+1is an irreducible quadratic since the discriminant is less than zero as below.

    D=(-1)2-4(1)(1)=-3<0

    Thus, we must use the quadratic formula to solve the remaining two roots as

    x=-(-1)±-32(1)=1±i32

    Therefore, we have one real root, x = 2 and a pair of complex conjugate roots

    x=1-i32 and x=1+i32

    Building a Polynomial Using FTA

    In this final section, we will show two worked examples that will demonstrate how we can use FTA to create a polynomial from a given statement.

    Write an algebraic expression in the standard polynomial form where the zeros are 3 and –5. The polynomial has a degree of 3 and the root –5 has a multiplicity of 2.

    Solution

    If the zeros of the polynomial, say f(x) are 3 and –5, then f(x) will have factors of (x – 3) and (x + 5).

    We also know that the degree of f(x) is 3, so by FTA, we must have 3 roots or in other words, 3 factors. So f(x) would look something like

    f(x)=(x-3)(x+5)(x+)

    We also know that the multiplicity of -5 is 2, therefore, we must have two factors of (x + 5). Thus, we obtain

    f(x)=(x-3)(x+5)(x+5)=(x-3)(x+5)2

    Expanding this using the FOIL method, we have the standard form of f(x) as

    f(x)=x3+7x2-5x-75

    Write an expression in the standard polynomial form where the zeros are –3, –4i, and 4i. The root –3 has a multiplicity of 2. What is the degree of this polynomial?

    Solution

    Since -4i and 4i are a pair of complex conjugate roots, we may use the product of two complex conjugate pairs. If the zeros of the polynomial, say f(x) are –3, –4i, and 4i, then f(x) will have factors of (x + 3) and (x2 + 16).

    We also know that the multiplicity of –3 is 2, therefore, we must have two factors of (x + 3). Thus, we obtain the completely factored form below.

    f(x)=(x+3)(x+3)(x2+16)=(x+3)2(x2+16)

    From the statement and the factored form above, we find that f(x) contains 4 roots: 2 real repeated roots, x = –3, and a pair of complex conjugate roots, x = –4i and x = 4i. So, by FTA, f(x) must be a degree of 4.

    Expanding this using the FOIL method, we have the standard form of f(x) as

    f(x)=x4+6x3+25x2+96x+144

    Fundamental Theorem of Algebra - Key takeaways

    • The Fundamental Theorem of Algebra states that a polynomial p(x) of degree n has n roots when p(x) = 0.
    • A polynomial of a the form p(x) = an xn + ... + a1 x1 + a0 , can be factorized as a product of linear factors of the form p(x) = a( x – r1 )( x – r2 ) ... ( x – rn ).
    • The zeros of a polynomial may be in the form of real numbers, multiplicities, or complex numbers.
    • Complex numbers always come as a pair of complex conjugates.
    • A polynomial can be factored into a product of the following two forms:
      1. a linear factor
      2. an irreducible quadratic
    • A multiplicity is a repeated root, that is a factor that appears more than once in an expression.

    Learn faster with the 0 flashcards about Fundamental Theorem of Algebra

    Sign up for free to gain access to all our flashcards.

    Fundamental Theorem of Algebra

    Frequently Asked Questions about Fundamental Theorem of Algebra

    What is the fundamental theorem of algebra?

    The fundamental theorem of algebra states a polynomial of degree n has n roots.

    What is the application of the fundamental theorem of algebra? 

    We apply the fundamental theorem of algebra to factoring and solving polynomials.

    What is the fundamental theorem of linear algebra?

    The fundamental theorem of linear algebra states that every polynomial has at least one zero in the complex numbers that can be represented as a linear factor. 

    What is the fundamental theorem of algebra roots?

    The roots of a polynomial are values of a variable that satisfy the equation. These are also known as solutions, zeros and x-intercepts. 

    How to do the fundamental theorem of algebra?

    We conduct the fundamental theorem of algebra by identifying the degree of the polynomial to determine the number of roots the polynomial has.

    Save Article

    How we ensure our content is accurate and trustworthy?

    At StudySmarter, we have created a learning platform that serves millions of students. Meet the people who work hard to deliver fact based content as well as making sure it is verified.

    Content Creation Process:
    Lily Hulatt Avatar
    Lily Hulatt

    Digital Content Specialist

    Lily Hulatt is a Digital Content Specialist with over three years of experience in content strategy and curriculum design. She gained her PhD in English Literature from Durham University in 2022, taught in Durham University’s English Studies Department, and has contributed to a number of publications. Lily specialises in English Literature, English Language, History, and Philosophy.

    Get to know Lily
    Content Quality Monitored by:
    Gabriel Freitas Avatar
    Gabriel Freitas

    AI Engineer

    Gabriel Freitas is an AI Engineer with a solid experience in software development, machine learning algorithms, and generative AI, including large language models’ (LLMs) applications. Graduated in Electrical Engineering at the University of São Paulo, he is currently pursuing an MSc in Computer Engineering at the University of Campinas, specializing in machine learning topics. Gabriel has a strong background in software engineering and has worked on projects involving computer vision, embedded AI, and LLM applications.

    Get to know Gabriel
    Discover learning materials with the free StudySmarter app
    Sign up for free
    1

    About StudySmarter

    StudySmarter is a globally recognized educational technology company, offering a holistic learning platform designed for students of all ages and educational levels. Our platform provides learning support for a wide range of subjects, including STEM, Social Sciences, and Languages and also helps students to successfully master various tests and exams worldwide, such as GCSE, A Level, SAT, ACT, Abitur, and more. We offer an extensive library of learning materials, including interactive flashcards, comprehensive textbook solutions, and detailed explanations. The cutting-edge technology and tools we provide help students create their own learning materials. StudySmarter’s content is not only expert-verified but also regularly updated to ensure accuracy and relevance.

    Learn more
    StudySmarter Editorial Team

    Team Math Teachers

    • 10 minutes reading time
    • Checked by StudySmarter Editorial Team
    Save Explanation Save Explanation
    Study anywhere. Anytime.Across all devices.
    Sign-up for free

    Sign up to highlight and take notes. It’s 100% free.