In this section, we shall look at two new concepts called the Remainder Theorem and the Factor Theorem. We aim to apply these theorems to obtain the remainder and factors of more complex polynomials. Before we begin, let us recall the following methods for dividing polynomials. This will help us understand how the theorems are relevant in finding the remainder and factors of a polynomial.
Components in Division
We can express a dividend as:
Dividend = (Divisor x Quotient) + Remainder
This is known as the Division Algorithm. Similarly, we can write this as the following expression:
.
Let's say we divide the 250 by 7. Here, 250 is the dividend and 7 is the divisor. Solving this gives us a quotient of 35 and a remainder of 5. This can be written as:
If the remainder is zero, the divisor becomes a factor of the number, namely,
Dividend = Factor x Quotient
In this case, we write:
.
Recap on Long Division
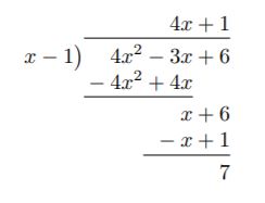
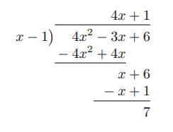
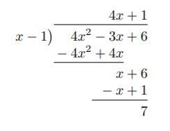
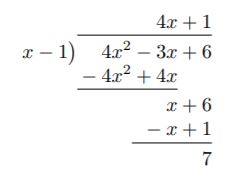
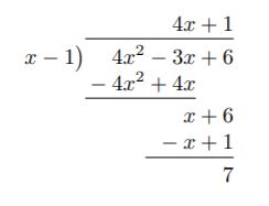
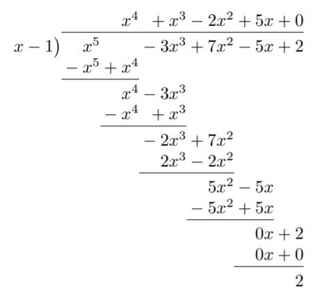
The concept above applies to polynomials in a similar way. Consider the polynomial function below.
Use long division to divide the polynomial by (x – 1).

Long division, Aishah Amri - StudySmarter Originals
From this, we deduce that:
where
Recap on Synthetic Division
Another way to divide polynomials is via synthetic division. Let us take the same example as above to show this method. Do the remainders coincide with each other?
Below is a detailed example describing synthetic division:

Synthetic division, Aishah Amri - StudySmarter Originals
As before, we get a remainder of 7.
The Remainder Theorem
The Remainder Theorem is a method used to find the remainder of a polynomial when it is divided by a linear polynomial. The term linear polynomial here refers to a first-degree polynomial. This typically takes the form:
.
The Remainder Theorem along with its proof is stated below.
The Remainder Theorem
If p is a polynomial and p is divided by (x – a), then the remainder is p(a).
The general form for the remainder theorem is then expressed as
.
where p is the dividend, (x – a) is the divisor, q is the quotient and p(a) is the remainder.
Proof of the Remainder Theorem
Let p be a polynomial that is divided by (x – a), where a is a real number. The division algorithm becomes
Plugging x = a into the equation above, we obtain
Hence, the remainder of r is
as stated in the Remainder Theorem.
Let us apply the Remainder Theorem to our previous example to show this.
Use the Remainder Theorem to find the remainder of the polynomial when it is divided by . Does it give us the same result as we did following long division?
Solution
By the Remainder Theorem, we know that the remainder is f(1). From our given polynomial, we have
Hence, the remainder is 7, as we have deduced by long division earlier.
Let us now consider applying this concept to polynomials of higher degrees. Below are two worked examples to show this.
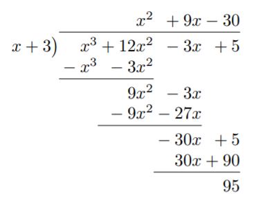
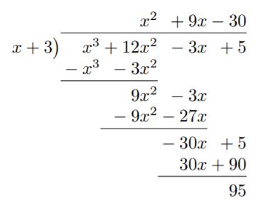
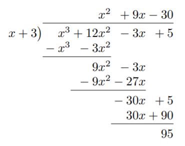
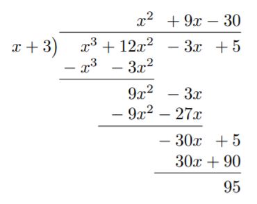
Use the Remainder Theorem to find the remainder of the cubic polynomial when divided by(be careful of the sign here!). Then, apply long division to verify the result.
Solution
By the Remainder Theorem, the remainder is f(-3). Solving this yields
Thus, the remainder is Let us now use long division to confirm this:

Again, we obtain a remainder of 95.
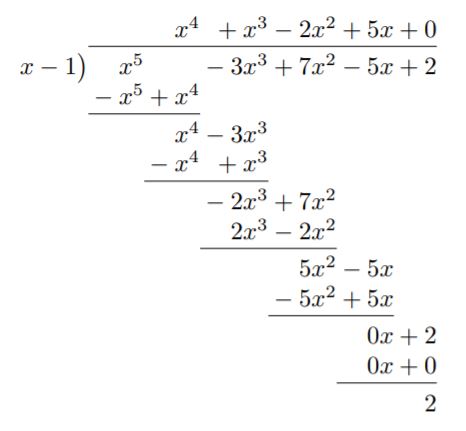
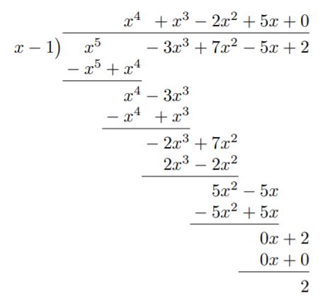
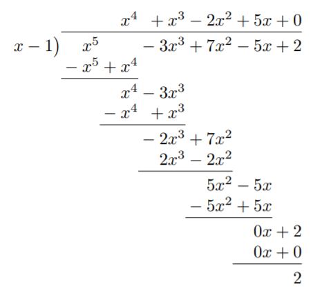
Apply the Remainder Theorem to evaluate the remainder of the polynomial when divided by . Next, use long division to confirm the answer.
Solution
By the Remainder Theorem, the remainder is f(1). Evaluating this yields
Thus, the remainder is Let us now exercise long division to verify this:

As before, the remainder here is 2.
The Factor Theorem
The Factor Theorem is a formula used to completely factor a polynomial into a product of n factors. The variable n refers to the number of factors the polynomial has. Once we have completely factored the polynomial, we can then find the solutions to the equation given by the polynomial equal to zero. In other words, we can obtain the roots of the polynomial. We do so by applying the Zero Product Property from the topic of Factoring Polynomials. The Factor Theorem together with its proof is written below.
The Factor Theorem
A polynomial p has a factor (x – a) if and only if the remainder p(a) = 0.
The general form for the factor theorem is then expressed as
where p(x) is the dividend, (x – a) is the factor and q(x) is the quotient.
Proof of the Factor Theorem
Let p be a polynomial that is divided by (x – a), where a is a real number. If (x – a) is a factor of p, then
Plugging x = a into the equation yields
Hence, a is a root of p. Conversely, if a is a root of p, then the remainder must equal to zero, that is From the Remainder Theorem, we know that
Substituting into the equation above gives us
Thus, (x – a) is indeed a factor of p(x). Therefore, we have proven the Factor Theorem.
Let us look at the following example.
Use the Factor Theorem to determine whether x - 1 is a factor of the polynomial . Hence or otherwise, use synthetic division to verify the result.
Solution
By the Factor Theorem, if x - 1 is a factor of then the remainder, f(1) must equal zero. Computing f(1), we find that
Therefore, x - 1 is a factor of f(x). By synthetic division, we observe that

Here, we clearly see that the remainder is also zero.
Moving on, let us apply the Factor Theorem to polynomials of degree greater than two. Here we have two worked examples to show this.
Use the Factor Theorem to show whether the binomial x + 2 is a factor of the cubic polynomial . Then, use synthetic division to confirm this result.
Solution
By the Factor Theorem, if x + 2 is a factor of then the remainder, f(–2) must equal zero. Calculating f(–2), we obtain
Therefore, x + 2 is a factor of f. Let us now use synthetic division to check our results.

Thus, the remainder is indeed zero and the result coincides with the Factor Theorem.
Apply the Factor Theorem to determine whether the binomial x – 1 is a factor of the cubic polynomial . After that, use synthetic division to verify this result.
Solution
By the Factor Theorem, if x – 1 is a factor of then the remainder, f(1) must equal zero. Evaluating f(1), we obtain
Therefore, x – 1 is a factor of f(x). We now apply synthetic division to confirm our result.

Again, we obtain a remainder of zero. Therefore, the result agrees with the Factor Theorem, as before.
Finding Solutions of Polynomials Using the Factor Theorem
As mentioned before, the Factor Theorem plays a role in completely factorizing a polynomial. This will thus help us find solutions to the polynomial. When doing so, it is helpful to use synthetic division (or long division) to deduce the quotient associated with the factor of the polynomial. We shall take the two previous examples above to show this.
Solve the cubic polynomial .
Solution
From the previous worked example, we deduced that x + 2 is a factor of f. Furthermore, synthetic division tells us that the quotient associated with this divisor is the polynomial Note that this is taken from the coefficients in the last row of synthetic division. Hence, the polynomial will take the form
The quadratic trinomial can be further factorized using factoring techniques from the previous topic: Factoring Polynomials. In doing do, we obtained the factorized form
Using the Zero Product Property, we have
Solving this gives us 3 solutions
Find the solutions to the polynomial .
Solution
Similarly, we found that x – 1 is a factor of f. Synthetic division tells us that the quotient associated with this divisor is the polynomial . Hence, the polynomial will take the form
We can factorize the quadratic trinomial Thus, the complete factorized form becomes
Here, we obtain
Hence, we have 3 roots:
The Remainder and Factor Theorems for Divisors of the Form (ax – b)
So far, we have only looked at divisors of the linear form, . We will now look at another linear form in which divisors may take, that is, . Below is the standard formula for this type of divisor in relation to the Remainder and Factor Theorems.
The Remainder and Factor Theorems for Divisor (ax – b)
If p is any polynomial and p is divided by (ax – b), then the remainder is
If then (ax – b) is a factor of p.
Observe our last example with the polynomial . In the completely factorized form, we see that (3x + 1) happens to be a factor of the polynomial. Let us use the Factor Theorem to verify this:
By the Factor Theorem, if (3x + 1) is a factor of then the remainder, must be equal to zero. Calculating we obtain
Hence, (3x + 1) is a factor of f, as required.
Let us return to the same example. This time, let us use the Remainder Theorem to find the remainder of the polynomial when it is divided by (5x – 7) .
By the Factor Theorem, if (5x – 7) is divided by then the remainder is Calculating
So the remainder is .
Remainder Theorem vs. Factor Theorem
In this section, we shall summarize the differences between the Remainder and Factor Theorem. The table below describes this comparison.
| Remainder Theorem | Factor Theorem |
| If p(x) is a polynomial and p(x) is divided by (x – a), then the remainder is p(a) | A polynomial p(x) has a factor (x – a) if and only if the remainder p(a) = 0 |
| Associates the remainder of division by a binomial with the value of a function at a point | Associates the factors of a polynomial to its roots. |
| Used to find the remainder of a polynomial when it is divided by a linear polynomial | Used to completely factor a polynomial into a product of n factors |
Remainder and factor theorems - Key takeaways
- The Remainder Theorem associates the remainder of division by a binomial with the value of a function at a point.
- The Remainder Theorem is used to find the remainder of a polynomial when it is divided by a linear polynomial.
- The Remainder Theorem: If p(x) is a polynomial and p(x) is divided by (x – a), then the remainder is p(a).
- The Factor Theorem associates the factors of a polynomial to its roots.
- The Factor Theorem is used to completely factor a polynomial into a product of n factors.
- The Factor Theorem: A polynomial p(x) has a factor (x – a) if and only if the remainder p(a) = 0.